Rejestracja
Darmowa rejestracja umożliwia personalizację portalu
Rejestracja
jeszcze kilka kliknięć i bedziesz mógł cieszyć się z dodatkowych, bezpłatnych funkcji portalu!
Geoinżynieria drogi mosty tunele 4/2008 [19]
![Geoinżynieria drogi mosty tunele 4/2008 [19]](https://devf.inzynieria.com/uploaded/magazines/gt019cover_mid(0).jpg)
Artykuły
-
strona głównaOd redakcji
Po doniesieniach, że kryzys gospodarczy dociera również do naszego kraju, powiało grozą. Analitycy PMR uspokajali jeszcze pod koniec października, że chociaż dynamika produkcji budowlanej w najbliższych latach będzie nieco niższa, przewiduje się przekroczenie jej poziomu o 10%, a krytyczną ocenę obecnej koniunktury kładli na karb opóźnień w dużych przetargach inżynieryjnych, a nie kryzysu finansowego.
Monika Socha-Kośmider, Firma nieznanaOpublikowano: 01-01-2008 -
strona głównaOd redakcji
Po doniesieniach, że kryzys gospodarczy dociera również do naszego kraju, powiało grozą. Analitycy PMR uspokajali jeszcze pod koniec października, że chociaż dynamika produkcji budowlanej w najbliższych latach będzie nieco niższa, przewiduje się przekroczenie jej poziomu o 10%, a krytyczną ocenę obecnej koniunktury kładli na karb opóźnień w dużych przetargach inżynieryjnych, a nie kryzysu finansowego.
Artykuły
-
-
strona głównaWydarzenia
-
DrogiRurowe elementy betonowe jako przejścia dla zwierząt
Na temat przejść dla zwierząt w budownictwie komunikacyjnym mówi się i pisze coraz więcej, co niewątpliwie świadczy o ważności tego tematu. Również w Polsce w ostatnim okresie odbyło się kilka konferencji poświęconych wyłącznie tej tematyce. Ukazało się też wiele publikacji omawiających te zagadnienia. Część z wymienionych prac wykonana została przy udziale autorów niniejszego artykułu.
Adam Wysokowski, Uniwersytet ZielonogórskiOpublikowano: 01-01-2008 -
DrogiRurowe elementy betonowe jako przejścia dla zwierząt
Na temat przejść dla zwierząt w budownictwie komunikacyjnym mówi się i pisze coraz więcej, co niewątpliwie świadczy o ważności tego tematu. Również w Polsce w ostatnim okresie odbyło się kilka konferencji poświęconych wyłącznie tej tematyce. Ukazało się też wiele publikacji omawiających te zagadnienia. Część z wymienionych prac wykonana została przy udziale autorów niniejszego artykułu.
Artykuły
-
TuneleTunel pod Wisłą
Projekt \"Zaopatrzenie w wodę i oczyszczanie ścieków w Warszawie\" współfinansowany przez Unię Europejską ze środków Funduszu Spójności, przyczynia się do zmniejszenia różnic społecznych i gospodarczych pomiędzy obywatelami Unii.
Ewa Marynowicz-Puchalska, Miejskie Przedsiębiorstwo Wodociągów i Kanalizacji w m.st. Warszawie S.A.Opublikowano: 01-01-2008 -
TuneleTunel pod Wisłą
Projekt \"Zaopatrzenie w wodę i oczyszczanie ścieków w Warszawie\" współfinansowany przez Unię Europejską ze środków Funduszu Spójności, przyczynia się do zmniejszenia różnic społecznych i gospodarczych pomiędzy obywatelami Unii.
Artykuły
-
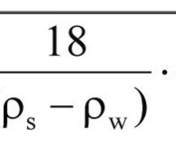
GeoinżynieriaOcena niepewności wyników pomiarów w analizie areometrycznej gruntu
Pomiar każdej wielkości jest procesem złożonym. Wpływ na wynik pomiaru ma wiele czynników. Są to między innymi: dokładność i odpowiednia rozdzielczość aparatury pomiarowej, jednorodność i reprezentatywność badanej próbki, warunki środowiskowe, dokładność oznaczenia wartości wielkości pośrednich i miarodajność wartości stałych, od których zależy badana wielkość oraz inne czynniki.
Anna Gołębiewska, Geoteko sp. z o.o.Opublikowano: 01-01-2008- TAGI:
- Parametry gruntu
-
GeoinżynieriaOcena niepewności wyników pomiarów w analizie areometrycznej gruntu
Pomiar każdej wielkości jest procesem złożonym. Wpływ na wynik pomiaru ma wiele czynników. Są to między innymi: dokładność i odpowiednia rozdzielczość aparatury pomiarowej, jednorodność i reprezentatywność badanej próbki, warunki środowiskowe, dokładność oznaczenia wartości wielkości pośrednich i miarodajność wartości stałych, od których zależy badana wielkość oraz inne czynniki.
Artykuły
-
Tunele25 lat metra w Warszawie
Kolej podziemna jest najlepszym rozwiązaniem problemów komunikacyjnych Warszawy. Dlatego koncepcja dalszej rozbudowy sieci kolei podziemnej wydaje się najrozsądniejszym wyborem władz miasta Blisko 25 lat temu poprzednik prawny Przedsiębiorstwa Robót Górniczych \"Metro\" sp. z o.o., tzn.: P.R.G. \"Mysłowice\" Grupa Robót \"Metro\" Warszawa, rozpoczął pracę nad pierwszym budowanym metodą bezwykopową odcinkiem trasy metra Kabaty - Młociny.
Jędrzej Napiecek, Przedsiębiorstwo Robót Górniczych \"Metro\" sp. z o.o.Opublikowano: 01-01-2008- TAGI:
- Metro Warszawskie
-
Tunele25 lat metra w Warszawie
Kolej podziemna jest najlepszym rozwiązaniem problemów komunikacyjnych Warszawy. Dlatego koncepcja dalszej rozbudowy sieci kolei podziemnej wydaje się najrozsądniejszym wyborem władz miasta Blisko 25 lat temu poprzednik prawny Przedsiębiorstwa Robót Górniczych \"Metro\" sp. z o.o., tzn.: P.R.G. \"Mysłowice\" Grupa Robót \"Metro\" Warszawa, rozpoczął pracę nad pierwszym budowanym metodą bezwykopową odcinkiem trasy metra Kabaty - Młociny.
Artykuły
-
TuneleII linia metra warszawskiego - odcinek centralny
Przebieg II linii warszawskiej kolei podziemnej zakłada poprowadzenie trasy z zachodniej części miasta, z Mor, na praską stronę Wisły i zakończenie linii w jej północnej części na osiedlu Bródno, a w południowej na Gocławiu. Od okolic stacji Stadion w kierunku południowym będzie się ciągnąć odgałęzienie linii. Długość całej II linii metra, złożonej z 27 stacji, będzie wynosić około 31 km.
Agata Sumara, GDMT geoinżynieria drogi mosty tuneleOpublikowano: 01-01-2008 -
TuneleII linia metra warszawskiego - odcinek centralny
Przebieg II linii warszawskiej kolei podziemnej zakłada poprowadzenie trasy z zachodniej części miasta, z Mor, na praską stronę Wisły i zakończenie linii w jej północnej części na osiedlu Bródno, a w południowej na Gocławiu. Od okolic stacji Stadion w kierunku południowym będzie się ciągnąć odgałęzienie linii. Długość całej II linii metra, złożonej z 27 stacji, będzie wynosić około 31 km.
Artykuły
-
BudownictwoWielkie możliwości małych pali
We wczesnych latach pięćdziesiątych dr Fernando Lizzi zapoczątkował nowy sposób myślenia o fundamentach. Obserwując naturę opracował i rozwinął pomysł \"pali korzeni\" (pali radice), pali o niewielkiej średnicy, które wykonane w odpowiednim układzie - długości, nachylenia i rozstawu - tworzą wraz z podłożem strukturę podobną do systemu korzeniowego drzew, zdolną do przenoszenia sił pionowych i poprzecznych, zarówno wciskających jak i wyrywających.
Jakub Sierant, TITAN POLSKA sp. z o.o.Opublikowano: 01-01-2008 -
BudownictwoWielkie możliwości małych pali
We wczesnych latach pięćdziesiątych dr Fernando Lizzi zapoczątkował nowy sposób myślenia o fundamentach. Obserwując naturę opracował i rozwinął pomysł \"pali korzeni\" (pali radice), pali o niewielkiej średnicy, które wykonane w odpowiednim układzie - długości, nachylenia i rozstawu - tworzą wraz z podłożem strukturę podobną do systemu korzeniowego drzew, zdolną do przenoszenia sił pionowych i poprzecznych, zarówno wciskających jak i wyrywających.
Artykuły
-
GeoinżynieriaWpływ poślizgu w zamkach grodzic typu U na ich nośność - cz. 2
W drugim tegorocznym wydaniu niniejszego kwartalnika [5] autorzy artykułu rozpoczęli dyskusję na temat wpływu poślizgu w zamkach grodzic typu U na ich nośność i odkształcalność. Głównym motywem napisania artykułu było pojawienie się normy PN-EN 1993-5:2007 Eurokod 3 - Projektowanie konstrukcji stalowych - Część 5: Palowanie i ścianki szczelne [1].
Paweł Kwarciński, ArcelorMittal Commercial Long Polska sp. z o.o.Opublikowano: 01-01-2008 -
GeoinżynieriaWpływ poślizgu w zamkach grodzic typu U na ich nośność - cz. 2
W drugim tegorocznym wydaniu niniejszego kwartalnika [5] autorzy artykułu rozpoczęli dyskusję na temat wpływu poślizgu w zamkach grodzic typu U na ich nośność i odkształcalność. Głównym motywem napisania artykułu było pojawienie się normy PN-EN 1993-5:2007 Eurokod 3 - Projektowanie konstrukcji stalowych - Część 5: Palowanie i ścianki szczelne [1].
Artykuły
-
GeoinżynieriaKotwy linowe stałe (DCP) i tymczasowe firmy SUSPA-DSI
Kotwy linowe służą do zabezpieczenia ścian wysokich wykopów, stabilizacji skarp i osuwisk lub generalnie ujmując, zapewniają równowagę konstrukcji oporowych włączając je aktywnie do współpracy z masywem gruntowym
Cezary Sternicki, SUSPA-DSI Polska sp. z o.o.Opublikowano: 01-01-2008 -
GeoinżynieriaKotwy linowe stałe (DCP) i tymczasowe firmy SUSPA-DSI
Kotwy linowe służą do zabezpieczenia ścian wysokich wykopów, stabilizacji skarp i osuwisk lub generalnie ujmując, zapewniają równowagę konstrukcji oporowych włączając je aktywnie do współpracy z masywem gruntowym
Artykuły
-
GeoinżynieriaPróbne obciążenia statyczne - praktyczne systemy zakotwień pali reakcji
Znaczny postęp technologii wykonywania głębokich fundamentów, w tym w znacznej mierze fundamentów palowych i ścian szczelinowych, wymusił w dużym stopniu na projektantach i wykonawcach potrzebę lepszego poznania rzeczywistej współpracy tych ważnych elementów konstrukcji z podłożem gruntowym.
Andrzej Kruczek, PILETEST sp. z o.o.Opublikowano: 01-01-2008 -
GeoinżynieriaPróbne obciążenia statyczne - praktyczne systemy zakotwień pali reakcji
Znaczny postęp technologii wykonywania głębokich fundamentów, w tym w znacznej mierze fundamentów palowych i ścian szczelinowych, wymusił w dużym stopniu na projektantach i wykonawcach potrzebę lepszego poznania rzeczywistej współpracy tych ważnych elementów konstrukcji z podłożem gruntowym.
Artykuły
-
DrogiInnowacyjne metody drenażu głębinowego dla celów odwadniania i stabilizacji gruntów
Grunty charakteryzujące się określonym stopniem nachylenia wykazują bardzo często różne przejawy braku stabilności. Ten brak stabilności (niestabilność), może prowadzić nawet do zagrożenia lub zniszczenia nieruchomości, istniejących lub projektowanych budynków oraz do wzrostu kosztów związanych z ich konstrukcją oraz zabezpieczeniem.
Sébastien Bomont, TP.GEOOpublikowano: 01-01-2008 -
DrogiInnowacyjne metody drenażu głębinowego dla celów odwadniania i stabilizacji gruntów
Grunty charakteryzujące się określonym stopniem nachylenia wykazują bardzo często różne przejawy braku stabilności. Ten brak stabilności (niestabilność), może prowadzić nawet do zagrożenia lub zniszczenia nieruchomości, istniejących lub projektowanych budynków oraz do wzrostu kosztów związanych z ich konstrukcją oraz zabezpieczeniem.
Artykuły
-
BudownictwoBudynki głęboko posadowione a przemieszczenia podłoża i zabudowy w sąsiedztwie
Projektowanie i realizacja budynków z wielokondygnacyjnymi podziemiami w warunkach zwartej zabudowy miejskiej należy do najtrudniejszych zagadnień inżynierskich.
Hanna Michalak, Politechnika WarszawskaOpublikowano: 01-01-2008 -
BudownictwoBudynki głęboko posadowione a przemieszczenia podłoża i zabudowy w sąsiedztwie
Projektowanie i realizacja budynków z wielokondygnacyjnymi podziemiami w warunkach zwartej zabudowy miejskiej należy do najtrudniejszych zagadnień inżynierskich.
Artykuły
-
MostyMost z obrotowym pylonem
Jedną z najważniejszych inwestycji drogowych w Gdańsku, związaną z EURO 2012 jest budowa Trasy Sucharskiego, która ma usprawnić warunki drogowe związane z obsługą stadionu \"Baltic Arena\". Najtrudniejszym elementem tej trasy jest przeprawa przez czynny kanał portowy o dużym natężeniu ruchu.
Stefan Niewitecki, Wydział Architektury Politechniki GdańskiejOpublikowano: 01-01-2008 -
MostyMost z obrotowym pylonem
Jedną z najważniejszych inwestycji drogowych w Gdańsku, związaną z EURO 2012 jest budowa Trasy Sucharskiego, która ma usprawnić warunki drogowe związane z obsługą stadionu \"Baltic Arena\". Najtrudniejszym elementem tej trasy jest przeprawa przez czynny kanał portowy o dużym natężeniu ruchu.
Artykuły
-
MostyWęzeł Murckowska
Trudne warunki jazdy autostradą A4 na Al. Górnośląskiej i węzłach drogowych (Mikołowska skrzyżowanie z DK81 i Murckowska skrzyżowanie z DK86) w Katowicach przyczyniły się do podjęcia decyzji o konieczności realizacji zadania \"Rozbudowa węzła Murckowska z budową dróg dojazdowych na autostradzie A4\".
Agata Sumara, GDMT geoinżynieria drogi mosty tuneleOpublikowano: 01-01-2008 -
MostyWęzeł Murckowska
Trudne warunki jazdy autostradą A4 na Al. Górnośląskiej i węzłach drogowych (Mikołowska skrzyżowanie z DK81 i Murckowska skrzyżowanie z DK86) w Katowicach przyczyniły się do podjęcia decyzji o konieczności realizacji zadania \"Rozbudowa węzła Murckowska z budową dróg dojazdowych na autostradzie A4\".
Artykuły
-
TuneleEurotunel - wizja urzeczywistniona
Mieszkańcy Europy od wieków szukali sposobu, aby dystans dzielący Francję i Wielką Brytanię pokonać \"suchą stopą\". Nie znaleziono jednakże odpowiedniego rozwiązania, aż do momentu pojawienia się idei połączenia krajów za pomocą tunelu pod Kanałem La Manche. Taka idea została sformułowana w 1802 r. przez francuskiego inżyniera Alberta Mathieu. Pomysł nie spotkał się jednak z zainteresowaniem, gdyż nie znaleziono rozwiązania dla problemów związanych z geologią i wentylacją.
Patrycja Synowiecka, Geoinżynieria drogi mosty tuneleOpublikowano: 01-01-2008 -
TuneleEurotunel - wizja urzeczywistniona
Mieszkańcy Europy od wieków szukali sposobu, aby dystans dzielący Francję i Wielką Brytanię pokonać \"suchą stopą\". Nie znaleziono jednakże odpowiedniego rozwiązania, aż do momentu pojawienia się idei połączenia krajów za pomocą tunelu pod Kanałem La Manche. Taka idea została sformułowana w 1802 r. przez francuskiego inżyniera Alberta Mathieu. Pomysł nie spotkał się jednak z zainteresowaniem, gdyż nie znaleziono rozwiązania dla problemów związanych z geologią i wentylacją.
Artykuły
-
'GDMT geoinżynieria drogi mosty tunele 1/2017 [58]'
-
Zmiany i rozwój w nowych kierunkach…
-
Przegląd geoinżynieryjny
-
Posadowienie konstrukcji wsporczych elektrowni wiatrowych
-
Monitorowanie oddziaływań dynamicznych w sąsiedztwie budowy
-
Pierwszy rozproszony system monitorowania drgań otoczenia budowy
-
Wzmocnienie fundamentów w sąsiedztwie głębokich wykopów
-
Mieszanki do wykonywania przesłon przeciwfiltracyjnych
-
Zmodernizowano zbiornik wodny Nysa
-
Przegląd drogowy
-
To dopiero początek zmian
-
Powstaje kluczowy transeuropejski korytarz Via Carpatia
-
Tunelowa Trasa Łagiewnicka w Krakowie
-
Polska chce rozwijać transport śródlądowy
-
Przegląd mostowy
-
Technologia ze smartfonów posłuży do badań mostów
-
Przechadzka w chmurach
-
Most wantowy z trzema pylonami
-
Przegląd tunelowy
-
W Warszawie trwają przygotowania do startu czterech TBM-ów
-
Ponad 2-kilometrowy tunel na Zakopiance już w budowie
-
Trzecia co do wielkości inwestycja ostatnich lat w Europie
-
Turcy połączyli dwa kontynenty
-
Tymi tunelami będziemy podróżować po Europie
-
Najdłuższy na świecie tunel do transportu wody pod ciśnieniem
-
Sydney realizuje megaprojekt infrastrukturalny
-
-
'Inżynieria Bezwykopowa 1/2017 [65]'
-
Co nowego?
-
Przegląd projektów HDD
-
Kilka słów o...
-
Złodzieje
-
Nie zmiany, ale osiąganie wyznaczonych celów
-
Potencjał branży bezwykopowej jest niewyczerpalny
-
3 mln m rękawa o zdefiniowanej warstwie ścieralnej
-
Renowacja kanalizacji sanitarnej na długości 10 km
-
Przygoda renowacyjna w Kościanie
-
Dobre praktyki planowania projektów mikrotunelowych
-
Wpływ właściwości smarnych płuczki wiertniczej na proces wiercenia otworów HDD
-
Serwis maszyn przeciskowych
-
Zarządzanie ryzykiem w projektach wiertniczych
-
Projekt Direct Pipe we Freeport Texas
-
Odbudowa rurociągu ciśnieniowego w kanionie Eldorado Springs
-
-
'Inżynieria Bezwykopowa 4/2016 [64]'
-
Przegląd projektów tunelowych
-
Ucieczka do przodu
-
Inny wymiar renowacji
-
CIPP: Ryga korzysta z doświadczeń polskich spółek
-
Jak usprawnić renowację sieci?
-
„Na ostro”
-
Naprawa studni rękawem utwardzanym promieniami UV w Monachium i Krakowie
-
Przewierty HDD na budowie sieci wodociągowej na Pomorzu
-
Bezwykopowy remont 100-letniego kolektora ogólnospławnego w Krakowie
-
Szybkie tempo, nowoczesna technologia
-
Renowacja sieci kanalizacyjnych wykładzinami utwardzanymi promieniowaniem UV
-
Renowacja systemu kolektorów kanalizacyjnych Oakland Macomb
-
Zamknięty obieg płuczkowy
-
Jak sprawdził się bezprzewodowy system lokalizacyjny przy dużych zakłóceniach?
-
Bezwykopowa instalacja rur dla kabli wysokiego napięcia
-
Realizacje HDD na podsumowanie roku 2016
-
Interkonektor Bułgaria–Rumunia
-
Instalacja HDD pod dnem rzeki Indian
-
Rury jajowe 1600/2400 mm na budowie metra w Warszawie
-
Inteligentne systemy rurociągów z tworzyw sztucznych
-
Lokalizacja podziemnej infrastruktury sieciowej
-
Lokalizacja podziemnej infrastruktury sieciowej
-
Jak pozyskiwać energię geotermalną?
-
Przewierty HDD na budowie sieci wodociągowej na Pomorzu
-
Maszyny do krakingu statycznego
-
Szybkie tempo, nowoczesna technologia
-
Inny wymiar renowacji
-
Renowacja sieci kanalizacyjnych wykładzinami utwardzanymi promieniowaniem UV
-
Ucieczka do przodu
-
W oczekiwaniu na ożywienie w branży
-
Interkonektor Bułgaria–Rumunia
-
Inteligentne systemy rurociągów z tworzyw sztucznych
-
Bezwykopowy remont 100-letniego kolektora ogólnospławnego w Krakowie
-
Przegląd projektów tunelowych
-
CIPP: Ryga korzysta z doświadczeń polskich spółek
-
AQUAREN podsumowuje rok 2016
-
Naprawa studni rękawem utwardzanym promieniami UV w Monachium i Krakowie
-
„Na ostro”
-
Jak usprawnić renowację sieci?
-
Kilka słów o...
-
Lokalizacja podziemnej infrastruktury sieciowej
-
Renowacja systemu kolektorów kanalizacyjnych Oakland Macomb
-
Przegląd projektów tunelowych
-
Renowacja systemu kolektorów kanalizacyjnych Oakland Macomb
-
Zamknięty obieg płuczkowy
-
Interkonektor Bułgaria–Rumunia
-
Inny wymiar renowacji
-
Bezwykopowa instalacja rur dla kabli wysokiego napięcia
-
Interkonektor Bułgaria–Rumunia
-
Pierwsze w Polsce przekroczenia w technologii Direct Pipe
-
Rury jajowe 1600/2400 mm na budowie metra w Warszawie
-
-
'GDMT geoinżynieria drogi mosty tunele 4/2016 [57]'
-
Przegląd geoinżynieryjny
-
Projektowanie kotew gruntowych i mikropali z uwzględnieniem Eurokodu
-
Monitorowanie obiektów budowlanych w sąsiedztwie budowy
-
Geoinżynieria a obiekty pełnomorskie
-
Zabezpieczenia przeciwpowodziowe
-
Monitoring wałów przeciwpowodziowych w systemie bezpieczeństwa powodziowego
-
Inżynieria geotechniczna a rozbudowa Portu Gdańsk
-
Przegląd drogowy
-
Zagospodarowanie odpadów górniczych powęglowych w budownictwie drogowym i hydrotechnicznym
-
Via Baltica na terenie Polski zostanie zrealizowana w całości
-
Mieszanki samozagęszczalne w projektach tunelowych, kanalizacyjnych i kubaturowych
-
Miliardy na inwestycje kolejowe
-
Z południa na północ autostradą
-
Nie tylko duże miasta mają obwodnice
-
100 km dróg ekspresowych z dofinansowaniem
-
Dla bezpieczeństwa pieszych i rowerzystów
-
Przegląd mostowy
-
Kładka Żerańska już otwarta
-
Ostatnie miesiące na budowie łącznicy Kraków Zabłocie–Kraków Krzemionki
-
Wyjątkowa przeprawa kolejowa w Hiszpanii
-
Przegląd tunelowy
-
Tunel niewielki, ale poprawa jakości jazdy znacząca
-
Start w grudniu
-
W listopadzie rusza budowa kolejnego odcinka warszawskiego metra
-
Największa w Europie tarcza TBM wydrąży włoski tunel
-
Katarskie metro w Księdze Rekordów Guinnessa
-
Najdłuższe tunele kolejowe w Czechach
-
Geoinżynieria a obiekty pełnomorskie
-
Monitoring wałów przeciwpowodziowych w systemie bezpieczeństwa powodziowego
-
-
'Inżynieria Bezwykopowa 3/2016 [63]'
-
Co nowego w branży?
-
Przegląd projektów HDD
-
Kilka słów o...
-
Wind of change
-
Coraz więcej odwagi w aplikacji technologii bezwykopowych
-
Ucz się online!
-
Wielofunkcyjny pojazd do renowacji kanałów i przyłączy
-
Renowacja wielkośrednicowego kanału wody mieszanej DN1400
-
Innowacyjny system renowacji obiektów wodno-kanalizacyjnych
-
Największa w Polsce maszyna do krakingu zastosowana do renowacji wodociągu
-
Lokalizacja podziemnej infrastruktury sieciowej, część 2
-
Renowacja kolektora z zastosowaniem rur spiralnie zwijanych
-
Dlaczego do renowacji sieci warto wybrać GRPanel?
-
Produkty betonowe dla branży wod-kan - jak powstają?
-
Zamknięty obieg płuczkowy
-
Nowa wiertnica - nowe możliwości
-
Sieć drenarska wykonana w technice bezwykopowej
-
Pneumatyczne krety z bliska
-
Zaawansowany system lokalizacji dla wierceń kierunkowych HDD
-
RoughneckTM – mocny i wydajny młot pneumatyczny
-
Bezwykopowa instalacja rury ochronnej dla stalowego ciepłociągu
-
Naturalne polimery w wierceniach hydrogeologicznych na Niżu Polskim
-
Jakimi metodami budować sieć wodociągową?
-
Czy za wodę i odprowadzanie ścieków płacimy za dużo?
-
Nowe Prawo wodne
-
Zamknięty obieg płuczkowy
-
Lokalizacja podziemnej infrastruktury sieciowej, część 2
-
-
'GDMT geoinżynieria drogi mosty tunele 3/2016 [56]'
-
Od dawna wyczekiwane zmiany na lepsze
-
Przegląd geoinżynieryjny
-
Przygotowanie wyników sondowania statycznego CPTU a proces projektowania nośności pala wciskanego
-
Kompensacyjny wpływ odprężenia gruntu na osiadanie kamienicy w Warszawie
-
Trwałość grodzic stalowych
-
Prace geotechniczne przy rozbudowie Galerii Gemini Park w Bielsku-Białej
-
Trudne realizacje to nasza specjalność
-
Przegląd drogowy
-
Ten program łączy Europę
-
Drogi ekspresowe S5 i S7
-
Trzy projekty – pięć obwodnic z unijnym wsparciem
-
Pierwszy na świecie odcinek „elektrycznej drogi”
-
Przegląd mostowy
-
Trzecia przeprawa mostowa przez Bosfor
-
Jeden cel, pięć kładek
-
Przegląd tunelowy
-
Wibroizolacja w konstrukcjach zagłębionych w gruncie w przypadku drgań transportowych
-
Oddziaływanie w przestrzeni podziemnej obiektów w warunkach infrastruktury miejskiej Przykład z metra warszawskiego
-
To będzie najdłuższy pozamiejski tunel w Polsce
-
Zabezpieczenie konstrukcji tunelu przy użyciu okładzin ogniochronnych
-
Najdłuższy tunel kolejowy na świecie
-
Innowacyjny projekt tunelowy
-
Obowiązek dokonywania transakcji za pośrednictwem rachunku bankowego
-
Pierwszy na świecie odcinek „elektrycznej drogi”
-
-
'Paliwa i Energetyka 2/2016 [17]'
-
Okiem eksperta
-
Przegląd paliwowy
-
Gazowa sieć dystrybucyjna – rozbudowa i modernizacja
-
GAZ-SYSTEM S.A. przekazuje dane do ACER
-
Główne problemy branży paliwowej w Polsce
-
Biogazownie rolnicze w Polsce
-
Elektrownie słoneczne
-
Przegląd energetyczny
-
Prosumenci potrzebują jasnego, stabilnego i opłacalnego systemu wsparcia
-
Branża OZE potrzebuje stabilności i przewidywalności przepisów
-
Forma procesu legislacyjnego a ostateczny kształt prawa w obszarze energetyki
-
Lot dookoła świata samolotem napędzanym energią słoneczną
-
Elektrownie wiatrowe
-
Słoneczna elektrownia na… Księżycu
-
Instalacja rurociągów wody surowej w Elektrowni Kozienice
-
Inwestycje liniowe
-
W energetyce wiele zmian i niepewności
-
Instalacja rurociągów wody surowej w Elektrowni Kozienice
-
-
'GDMT geoinżynieria drogi mosty tunele 2/2016 [55]'
-
Inwestycje w formule PPP – niebawem ułatwienia
-
I po Wielkiej Ofensywie Inwestycji Kolejowych…
-
Przegląd geoinżynieryjny
-
MES w analizie pracy pali zagłębionych w utworach skalistych
-
Zastosowanie mikropali do kotwienia i posadowienia konstrukcji tunelu pod Martwą Wisłą
-
Wykonanie przepławki dla ryb w Nysie
-
Warunki poprawnej współpracy niskociśnieniowych pali iniekcyjnych z konstrukcją i gruntem, zakotwienie pala w fundamencie
-
Palowanie na budowie nowych instalacji w gdańskiej rafinerii
-
Badania gruntu
-
BAUER BG24H – lider na polskim rynku palownic
-
Przegląd drogowy
-
Ruszyło wsparcie unijne dla 11 dużych projektów drogowych
-
Kolej górą... czyli łącznica na estakadach
-
Przegląd mostowy
-
Przeprawa mostowa nad Baryczą
-
Most zwodzony na Wyspę Sobieszewską
-
Przegląd tunelowy
-
Kolejne kilometry stołecznego metra
-
Jak powstał najdłuższy tunel drogowy w Polsce?
-
Obudowa ogniochronna gdańskiego tunelu
-
Mieszanki mineralne stosowane podczas drążenia tuneli metodą TBM
-
Klapy pożarowe w systemach wentylacji pożarowej tuneli
-
Systemy monitoringu geotechnicznego
-
Futurystyczny projekt transportowy w Chinach
-
Odsetki w transakcjach handlowych
-
-
'Inżynieria Bezwykopowa 2/2016 [62]'
-
Targi i konferencje – gdzie warto być?
-
Przegląd projektów tunelowych
-
Dotacje, dotacje!
-
Dlaczego warto wybierać RURY BETONOWE?
-
Sieci wod-kan w Polsce: stan obecny i plany
-
Rury GRP z Gdańska do USA
-
Rękaw renowacyjny – wyniki testów nadal na wysokim poziomie
-
Rękawy i materiały kompozytowe
-
Bezwykopowa renowacja sieci wod-kan 2015
-
Renowacja wodociągu DN300 metodą natrysku odśrodkowego powłoką polimocznikową
-
Pomiar szczelności kanalizacji
-
Lokalizacja podziemnej infrastruktury sieciowej
-
GRPanel idealny do bezwykopowej renowacji kanalizacji
-
Kamera satelitarna do monitorowania przyłączy
-
Kraking statyczny Bezwykopowa wymiana rurociągów
-
Drezno: bezwykopowa instalacja rurociągów
-
Zamknięty obieg płuczkowy
-
Bezwykopowa instalacja w Elektrowni Kozienice
-
Wielozadaniowe krety
-
Przewierty w trudnym terenie pod kable światłowodowe
-
System DigiTrak Falcon
-
Vermeer InSite – informatyzacja przewiertów
-
Mikrotunelowanie w Gdańsku
-
Bentonity dla branży wiertniczej
-
Uniwersalny pojazd pływający
-
Zamknięty obieg płuczkowy
-
Lokalizacja podziemnej infrastruktury sieciowej
-
Bezwykopowa instalacja w Elektrowni Kozienice
-
-
'GDMT geoinżynieria drogi mosty tunele 1/2016 [54]'
-
Zmiany...
-
ALLU na targach Bauma 2016
-
Przegląd geoinżynieryjny
-
Odbudowa nietypowego korpusu drogi krajowej
-
Rozpoznanie i badanie podłoża gruntowego wg PN-EN-1997-2
-
Przebudowa Nabrzeża Oliwskiego w Porcie Gdańsk
-
Wybrane realizacje pali FRANKI na terenie Polski
-
System masowej stabilizacji podłoża
-
Przegląd drogowy
-
Autostrada A1 na Śląsku: część prac już się rozpoczęła
-
Integracja transportu miejskiego i kolejowego w aglomeracjach
-
Badanie jakości inwestycji kolejowych – laboratoria mobilne do pracy w terenie
-
Przegląd mostowy
-
Obrotową kładką na Wyspę Spichrzów
-
9 wybranych mostów kolejowych objętych modernizacją w 2015 r.
-
Most nad Widawą
-
Najdłuższy most pontonowy na świecie
-
Pierwszy w Polsce most z kompozytów
-
Przegląd tunelowy
-
Nowoczesne betony natryskowe dla górnictwa
-
Gliwice: blisko 500-metrowy tunel jest już gotowy
-
Koncepcja kolejnych stacji II linii metra wybrana
-
Przegląd prawny
-
Odpowiedzialność zawodowa w budownictwie
-

![Czasopismo Inżynieria Bezwykopowa 1/2017 [65]](https://devf.inzynieria.com/uploaded/magazines/cover_ib65.png)
![Czasopismo GDMT geoinżynieria drogi mosty tunele 1/2017 [58]](https://devf.inzynieria.com/uploaded/magazines/cover_gdmt58.jpg)